理解计算篇--正则表达式转NFA--理论部分
- 空正则表达式转NFA
- 单字符正则表达式转NFA
- 拼接正则表达式转NFA
- 选择正则表达式转NFA
- 重复正则表达式转NFA
正则表达式转NFA–实战部分
空正则表达式转NFA
转换步骤:
- 构建1个只有1个状态的NFA
- 起始状态也是接受状态
- 没有规则,即规则集为空

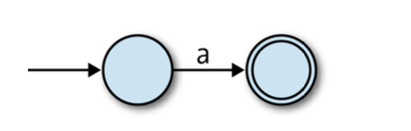
单字符正则表达式转NFA
转换步骤:
- 构建1个有2个状态的NFA
- 第一个状态为起始状态,第二个状态为接受状态
- 规则集只有1条规则,当 NFA 处于起始状态,且当前读到的字符等于该正则表达式中的字符时,它会转换到接受状态。

拼接正则表达式转NFA
转换步骤:构建一个新的 NFA
- 新NFA的起始状态为第一个NFA的起始状态
- 新NFA的接受状态集为第二个NFA的接受状态集相同
- 新NFA的规则集包含第一个NFA的所有规则以及第二个NFA的所有规则的并集
- 添加自由移动规则,将第一个 NFA 的每一个旧接受状态连接到第二个 NFA 的旧起始状态
请注意:
- 隐含的改变: 在连接后,第一个 NFA 原来的接受状态在新构建的 NFA 中不再是最终的接受状态
- 无新增状态
- 有新增规则

选择正则表达式转NFA
转换步骤:构建一个新的NFA
- 新 NFA 的起始状态为一个新建的起始状态
- 新 NFA 的接受状态包含两个NFA的接受状态的并集
- 新 NFA 的规则包含两个NFA的规则的并集
- 新增两条额外的自由移动规则:将新的起始状态连接到两个NFA的旧起始状态
请注意:
- 有新增状态,有新增规则

重复正则表达式转NFA
转换步骤:构建一个新的NFA
- 新NFA的起始状态为一个新建的状态,同时也是一个接受状态。
- 新NFA的接受状态包含旧NFA的接受状态
- 新NFA的规则包含旧NFA的规则
- 添加一些额外的自由移动规则,将每个旧NFA的接受状态连接到它的旧起始状态
- 添加一条自由移动规则,将新的起始状态连接到旧起始状态
请注意:
- 有新增状态,有新增规则

示例
(a|b)*a(a|b)

