11-算法打卡-链表-删除链表的倒数第N个节点-leetcode(19)-第十一天
1 题目地址
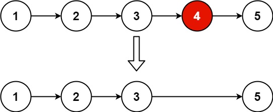
19. 删除链表的倒数第 N 个结点 - 力扣(LeetCode)19. 删除链表的倒数第 N 个结点 - 给你一个链表,删除链表的倒数第 n 个结点,并且返回链表的头结点。 示例 1:[https://assets.leetcode.com/uploads/2020/10/03/remove_ex1.jpg]输入:head = [1,2,3,4,5], n = 2输出:[1,2,3,5]示例 2:输入:head = [1], n = 1输出:[]示例 3:输入:head = [1,2], n = 1输出:[1] 提示: * 链表中结点的数目为 sz * 1 <= sz <= 30 * 0 <= Node.val <= 100 * 1 <= n <= sz 进阶:你能尝试使用一趟扫描实现吗?
https://leetcode.cn/problems/remove-nth-node-from-end-of-list/description/
2 题目说明
给你一个链表,删除链表的倒数第 n 个结点,并且返回链表的头结点。
示例 1:

输入:head = [1,2,3,4,5], n = 2 输出:[1,2,3,5]
示例 2:
输入:head = [1], n = 1 输出:[]
示例 3:
输入:head = [1,2], n = 1 输出:[1]
提示:
- 链表中结点的数目为
sz 1 <= sz <= 300 <= Node.val <= 1001 <= n <= sz
3 解题思路
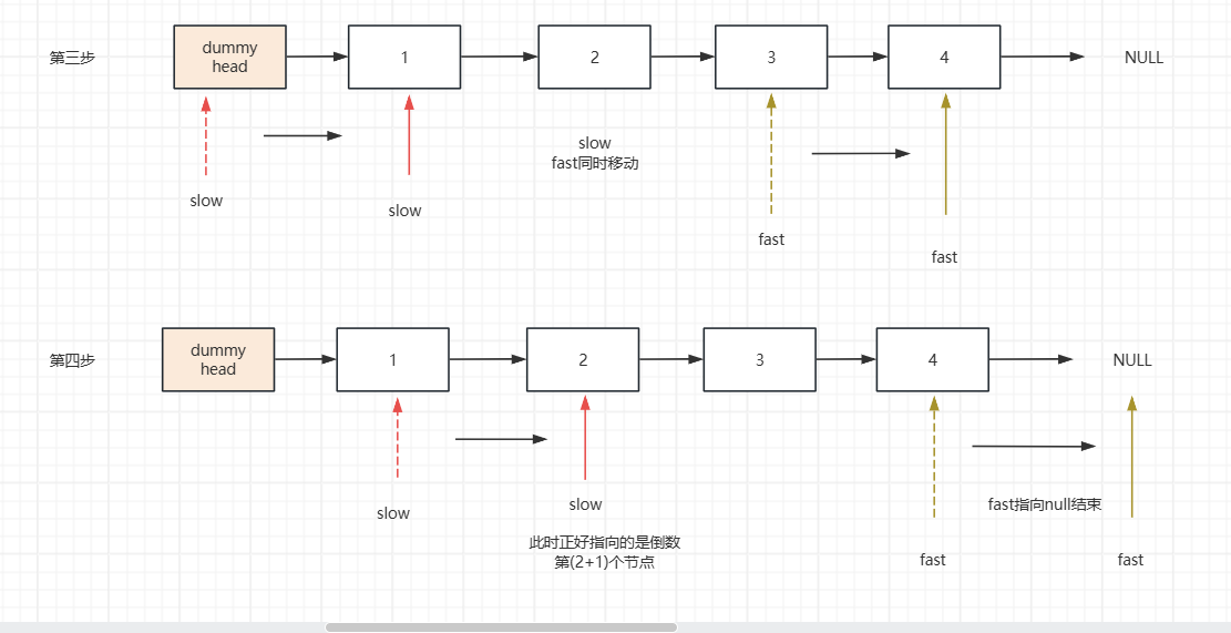
双指针应用场景,如果要删除倒数第N个节点,让fast节点移动N步,然后在让slow和fast同时移动,直到fast指向链表尾部。删掉slow所指向的节点就可以了。



1 使用虚拟头节点,业务处理逻辑变的简单
2 定义快慢指针fast,slow, 指向虚拟头结点
3 fast先移动N+1步(fast节点领先slow节点N+1步,等fast指向链表末尾的时候,slow节点正好定位在倒数第N+1个节点),举个例子N=2, fast节点先走3步,fast到链表末尾的时候,slow在倒数第4个节点上
4 使用链表移除slow的后一个节点即可
4 代码编写
4.1 双指针
/*** Definition for singly-linked list.* public class ListNode {* int val;* ListNode next;* ListNode() {}* ListNode(int val) { this.val = val; }* ListNode(int val, ListNode next) { this.val = val; this.next = next; }* }*/
class Solution {public ListNode removeNthFromEnd(ListNode head, int n) {// 使用虚拟头节点ListNode dummyHead = new ListNode(-1, head);// 慢指针指向虚拟头节点ListNode slow = dummyHead;// 快指针指向虚拟头节点ListNode fast = dummyHead;// 快指针向前移动N+1步for (int i=0; i<=n; i++) {fast = fast.next;}// 移动到链表末端结束while (fast != null) {slow = slow.next;fast = fast.next;}// 中间变量暂存待删除的节点ListNode temp = slow.next;// 指向下下个节点slow.next = slow.next.next;// 待删除的节点的next置为null,后期会gc回收temp.next = null;return dummyHead.next;}
}

