建模实战|第八期:Benders Decomposition求解设施选址问题(FLP):理论及python代码实战
1. 什么是Benders Decompositions
Benders Decompositions是一种用来解决有特殊结构问题的数学编程技术。它经常被用来解决大规模混合整数规划(mixed integer programming, MIP)问题。其主要思想是,将较复杂的模型分解成为2部分,分别求解2部分都较为容易,通过两部分之间的交互迭代,最终算法得到收敛,得到最优解。
一般的想法是利用其块结构特性将原始MIP问题划分(分解)为:
- Master Problem主问题 - usually harder, MIP problem,一般是关于整数变量y的,是复杂变量的问题
- Subproblem(s)子问题 - easier, LP problem(s),一般是关于连续变量x的,是简单变量的问题
但是,分别求解模型MP和SP并不能等同于求解了原MIP。要想达到等价地求解原MIP的目的,还需要MP和SP之间的交互。MP和SP之间的交互的方式是:通过求解 SP ,获得一些信息,这些信息反映了x 对 y 的影响,我们通过某种方式,将 x 对 y 的影响加回到 MP 中,进行补救。补救措施,是以两种cutting plane的形式加回到Master Problem主问题中,分别为[1]:
- Benders optimality cut
- Benders feasibility cut
更详细的原理参考这篇:
运小筹:优化算法 | Benders Decomposition: 一份让你满意的【入门-编程实战-深入理解】的学习笔记
2. 利用Benders Decompositions进行选址问题建模和具体步骤
2.1问题描述

2.2选址问题的原始MIP模型

2.3将原始MIP模型进行分解


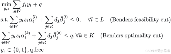
(3)更新MP问题
根据Benders算法流程,我们向MP问题中添加Benders optimality cut和Benders feasibility cut,Benders主问题可以写为:

其中,K是子问题的对偶问题Dual SP的极点(extreme point,其实就是最优解)的集合
L是子问题的对偶问题Dual SP的极射线(extreme ray,其实就是无界射线)的集合
3.python调用gurobi实现Benders Decomposition求解FLP(Facility Location Problem)
核心代码:
import numpy as np
from gurobipy import *from principle.input_data import InputDataclass Subproblem:def __init__(self, data, Q, E):self.data = dataself.sub_problem = Model("sub_problem")self.sub_problem.setParam('InfUnbdInfo', 1)self.alpha = self.sub_problem.addVars([i for i in range(self.data['w_size'])],lb= -np.inf,ub= 0, name="alpha") # 资源约束的对偶变量self.beta = self.sub_problem.addVars([j for j in range(self.data['r_size'])],lb= 0,ub= np.inf, name="beta") # 需求约束的对偶变量self.Q = Qself.E = Eself.subCon = [['' for _ in range(self.data['r_size'])] for _ in range(self.data['w_size'])]def add_constrs(self):# 子问题对偶问题添加约束for i in range(self.data['w_size']):for j in range(self.data['r_size']):self.subCon[i][j] = self.sub_problem.addConstr(self.alpha[i] + self.beta[j] <= self.data['c'][i][j])def set_objective(self, bar_y):# 子问题对偶问题的目标函数self.sub_problem.setObjective(quicksum(bar_y[i] * self.data['supply'][i] * self.alpha[i] for i in range(self.data['w_size'])) +quicksum(self.data['demand'][j] * self.beta[j] for j in range(self.data['r_size'])), GRB.MAXIMIZE)def solve(self):self.sub_problem.optimize()def get_status(self, iter_i):if self.sub_problem.status == GRB.UNBOUNDED:# feasible cutitem = dict()item["alpha"] = {i: self.alpha[i].unbdRay for i in range(self.data['w_size'])}item["beta"] = {j: self.beta[j].unbdRay for j in range(self.data['r_size'])}self.Q[iter_i] = itemelif self.sub_problem.status == GRB.OPTIMAL:# optimality cutitem = dict()item["alpha"] = {i: self.alpha[i].x for i in range(self.data['w_size'])}item["beta"] = {j: self.beta[j].x for j in range(self.data['r_size'])}self.E[iter_i] = itemreturn self.sub_problem.statusdef get_objval(self):return self.sub_problem.objVal if self.sub_problem.status == GRB.OPTIMAL else -np.infdef write(self, sub_name):self.sub_problem.write(sub_name + ".lp")def get_solution(self):# duals = self.sub_problem.getAttr("Pi", self.sub_problem.getConstrs())# for con in self.sub_problem.getConstrs(): # 循环获取# if con.Pi > 0.1 :# print(con.ConstrName, '----', con.Pi)# 处理对偶变量的值for i in range(self.data['w_size']):for j in range(self.data['r_size']):dual_var = self.sub_problem.getConstrByName(self.subCon[i][j].constrName).Piif dual_var > 0.01:print("ship ["+ str(i) +"] to ["+ str(j) +"]"+ str(dual_var))class Master:def __init__(self, data, Q, E):self.data = dataself.master_problem = Model("master_problem")# 决策变量初始化self.y = self.master_problem.addVars([i for i in range(self.data['w_size'])], vtype=GRB.BINARY, name="y")# 参数约束 子问题中的目标值,对应松弛的主问题模型中qself.q = self.master_problem.addVar(vtype=GRB.CONTINUOUS, name="q")self.Q = Qself.E = Edef add_optimality_cut(self, iter_i):# general benders optimality cutfor item in self.E.values():self.master_problem.addConstr(quicksum(self.y[i] * self.data['supply'][i] * item["alpha"][i] for i in range(self.data['w_size'])) +quicksum(self.data['demand'][j] * item["beta"][j] for j in range(self.data['r_size']))<= self.q, name = "optimality_cut_" + str(iter_i))def add_feasiblity_cut(self, iter_i):# benders feasiblity cutfor item in self.Q.values():self.master_problem.addConstr(quicksum(self.y[i] * self.data['supply'][i] * item["alpha"][i] for i in range(self.data['w_size'])) +quicksum(self.data['demand'][j] * item["beta"][j] for j in range(self.data['r_size']))<= 0, name = "feasiblity_cut_" + str(iter_i))def set_objective(self):# 主问题建模self.master_problem.setObjective(quicksum(self.data['fixed_c'][i] * self.y[i] for i in range(self.data['w_size'])) + self.q, GRB.MINIMIZE)def solve(self):self.master_problem.optimize()def get_solution(self):bar_y = dict()for i in range(self.data['w_size']):bar_y[i] = 1 if self.y[i].x > 0.01 else 0return bar_ydef get_objval(self):return self.master_problem.objVal if self.master_problem.status == GRB.OPTIMAL else -np.infdef write(self, name):self.master_problem.write(name + ".lp")
4.算例与求解结果
import numpy as npclass InputData:@staticmethoddef read_data():data = dict()data['w_size'] = 25data['r_size'] = 6data['supply'] = [23070,18290,20010,15080,17540,21090,16650,18420,19160,18860,22690,19360,22330,15440,19330,17110,15380,18690,20720,21220,16720,21540,16500,15310,18970]data['demand'] = [12000, 12000, 14000, 13500, 25000, 29000]data['fixed_c'] = [500000,500000,500000,500000,500000,500000,500000,500000,500000,500000,500000,500000,500000,500000,500000,500000,500000,500000,500000,500000,500000,500000,500000,500000,500000]data['c'] = [[73.78, 14.76,86.82, 91.19,51.03, 76.49],[60.28, 20.92,76.43, 83.99,58.84, 68.86],[58.18, 21.64,69.84, 72.39,61.64, 58.39],[50.37, 21.74,61.49, 65.72,60.48, 56.68],[42.73, 35.19,44.11, 58.08,65.76, 55.51],[44.62, 39.21,44.44, 48.32,76.12, 51.17],[49.31, 51.72,36.27, 42.96,84.52, 49.61],[50.79, 59.25,22.53, 33.22,94.30, 49.66],[51.93, 72.13,21.66, 29.39,93.52, 49.63],[65.90, 13.07,79.59, 86.07,46.83, 69.55],[50.79, 9.99,67.83, 78.81,49.34, 60.79],[47.51, 12.95,59.57, 67.71,51.13, 54.65],[39.36, 19.01,56.39, 62.37,57.25, 47.91],[33.55, 30.16,40.66, 48.50,60.83, 42.51],[34.17, 40.46,40.23, 47.10,66.22, 38.94],[41.68, 53.03,22.56, 30.89,77.22, 35.88],[42.75, 62.94,18.58, 27.02,80.36, 40.11],[46.46, 71.17,17.17, 21.16,91.65, 41.56],[56.83, 8.84,83.99, 91.88,41.38, 67.79],[46.21, 2.92,68.94, 76.86,38.89, 60.38],[41.67, 11.69,61.05, 70.06,43.24, 48.48],[25.57, 17.59,54.93, 57.07,44.93, 43.97],[28.16, 29.39,38.64, 46.48,50.16, 34.20],[26.97, 41.62,29.72, 40.61,59.56, 31.21],[34.24, 54.09,22.13, 28.43,69.68, 24.09]]return data
算法迭代的日志展示如下:
====================================================================================================
iteration at 9
Gurobi Optimizer version 11.0.2 build v11.0.2rc0 (win64 - Windows 10.0 (19045.2))CPU model: Intel(R) Core(TM) i7-8700 CPU @ 3.20GHz, instruction set [SSE2|AVX|AVX2]
Thread count: 6 physical cores, 12 logical processors, using up to 12 threadsOptimize a model with 150 rows, 31 columns and 300 nonzeros
Coefficient statistics:Matrix range [1e+00, 1e+00]Objective range [1e+04, 3e+04]Bounds range [0e+00, 0e+00]RHS range [3e+00, 9e+01]
LP warm-start: use basis
Iteration Objective Primal Inf. Dual Inf. Time0 4.6710000e+34 8.100000e+31 4.671000e+04 0s35 2.7352069e+06 0.000000e+00 0.000000e+00 0sSolved in 35 iterations and 0.00 seconds (0.00 work units)
Optimal objective 2.735206900e+06
ship [16] to [2]8810.0
ship [16] to [5]960.0
ship [17] to [2]5190.0
ship [17] to [3]13500.0
ship [19] to [1]12000.0
ship [19] to [4]9220.0
ship [21] to [0]5760.0
ship [21] to [4]15780.0
ship [23] to [0]6240.0
ship [23] to [5]9070.0
ship [24] to [5]18970.0
Q 1
E 9
y:
{0: 0, 1: 0, 2: 0, 3: 0, 4: 0, 5: 0, 6: 0, 7: 0, 8: 0, 9: 0, 10: 0, 11: 0, 12: 0, 13: 0, 14: 0, 15: 0, 16: 1, 17: 1, 18: 0, 19: 1, 20: 0, 21: 1, 22: 0, 23: 1, 24: 1}
Gurobi Optimizer version 11.0.2 build v11.0.2rc0 (win64 - Windows 10.0 (19045.2))CPU model: Intel(R) Core(TM) i7-8700 CPU @ 3.20GHz, instruction set [SSE2|AVX|AVX2]
Thread count: 6 physical cores, 12 logical processors, using up to 12 threadsOptimize a model with 46 rows, 26 columns and 715 nonzeros
Model fingerprint: 0xd3a9408a
Variable types: 1 continuous, 25 integer (25 binary)
Coefficient statistics:Matrix range [1e+00, 1e+06]Objective range [1e+00, 5e+05]Bounds range [1e+00, 1e+00]RHS range [1e+05, 6e+06]MIP start from previous solve produced solution with objective 5.73521e+06 (0.00s)
Loaded MIP start from previous solve with objective 5.73521e+06Presolve removed 36 rows and 0 columns
Presolve time: 0.00s
Presolved: 10 rows, 26 columns, 164 nonzeros
Variable types: 1 continuous, 25 integer (25 binary)Root relaxation: objective 5.391367e+06, 11 iterations, 0.00 seconds (0.00 work units)Nodes | Current Node | Objective Bounds | WorkExpl Unexpl | Obj Depth IntInf | Incumbent BestBd Gap | It/Node Time0 0 5391366.52 0 4 5735206.90 5391366.52 6.00% - 0s
H 0 0 5700871.8000 5391366.52 5.43% - 0s
H 0 0 5675356.0000 5422912.77 4.45% - 0s0 0 5426773.19 0 7 5675356.00 5426773.19 4.38% - 0s
H 0 0 5667218.1000 5433392.41 4.13% - 0s0 0 5441823.56 0 6 5667218.10 5441823.56 3.98% - 0s0 0 5459350.96 0 6 5667218.10 5459350.96 3.67% - 0s0 0 5481319.95 0 6 5667218.10 5481319.95 3.28% - 0s
H 0 0 5661907.9000 5481319.95 3.19% - 0s0 0 5501705.15 0 8 5661907.90 5501705.15 2.83% - 0s0 0 5501705.15 0 9 5661907.90 5501705.15 2.83% - 0s0 0 5510139.70 0 8 5661907.90 5510139.70 2.68% - 0s0 0 5510139.70 0 9 5661907.90 5510139.70 2.68% - 0s0 0 5510139.70 0 9 5661907.90 5510139.70 2.68% - 0s0 0 5510139.70 0 8 5661907.90 5510139.70 2.68% - 0s0 0 5510139.70 0 7 5661907.90 5510139.70 2.68% - 0s0 0 5510340.64 0 8 5661907.90 5510340.64 2.68% - 0s0 2 5515530.88 0 8 5661907.90 5515530.88 2.59% - 0sCutting planes:Gomory: 1Lift-and-project: 1Cover: 3MIR: 7Explored 97 nodes (445 simplex iterations) in 0.03 seconds (0.01 work units)
Thread count was 12 (of 12 available processors)Solution count 5: 5.66191e+06 5.66722e+06 5.67536e+06 ... 5.73521e+06Optimal solution found (tolerance 1.00e-04)
Best objective 5.661907900000e+06, best bound 5.661907900000e+06, gap 0.0000%
Warning: linear constraint 2 and linear constraint 3 have the same name "optimality_cut_2"
ub:5735206.9
lb:5661907.9
最优解信息:
ship [16] to [2]8810.0
ship [16] to [5]960.0
ship [17] to [2]5190.0
ship [17] to [3]13500.0
ship [19] to [1]12000.0
ship [19] to [4]9220.0
ship [21] to [0]5760.0
ship [21] to [4]15780.0
ship [23] to [0]6240.0
ship [23] to [5]9070.0
ship [24] to [5]18970.0
y:
{0: 0, 1: 0, 2: 0, 3: 0, 4: 0, 5: 0, 6: 0, 7: 0, 8: 0, 9: 0, 10: 0, 11: 0, 12: 0, 13: 0, 14: 0, 15: 0, 16: 1, 17: 1, 18: 0, 19: 1, 20: 0, 21: 1, 22: 0, 23: 1, 24: 1}
ub:5735206.9
5.相关文献
[1]优化算法 | Benders Decomposition: 一份让你满意的【入门-编程实战-深入理解】的学习笔记
[2]优化算法 | Benders Decomposition求解设施选址问题(FLP):理论及Java调用CPLEX实战
[3]【整数规划(九)】Benders 分解(理论分析+Python代码实现)
[4]YuyangZhangFTD-benders-求解运输问题
[5]线性规划技巧: Benders Decomposition-求解设施选址问题(FLP)
[6]Solving Location Problem using Benders Decomposition with Gurobi-求解设施选址问题(FLP)
完整代码:在这里
