行星际激波数据集 (2023)
原文:Frontiers | Interplanetary shock data base (frontiersin.org)

译文对应部分的参考文献部分省略,文献引用详情请参考原文。本文部分内容翻译自[Interplanetary shock data base] or [Front. Astron. Space Sci., 20 September 2023],仅供学术交流,如有侵权请联系修改或删除。
Introduction
行星际激波是太阳风中常见的现象,其撞击地球磁层后会引发从高层大气到地面的连锁地磁响应。这些激波效应广泛体现在空间环境的多个方面:既影响辐射带粒子和同步轨道磁场,又会改变电离层状态并产生地面可观测的电磁感应。由于激波事件比地磁暴更频繁且与太阳活动周期同步,建立精确的激波数据库对空间天气研究具有特殊价值。
研究表明,激波的地磁效应强度主要受三个参数调控:传播速度、马赫数和物质压缩程度。特别值得注意的是,激波相对于地球的撞击角度(其法向量与日地连线的夹角)被证实是决定地磁响应程度的关键参数。无论是数值模拟还是实际观测都证实,正向高速激波往往能激发更强烈的地磁扰动。
本文推出的新版数据库在三个方面实现升级:首先优化了激波参数(特别是撞击角度和速度)的算法标准;其次扩充了激波事件前后伴随的太阳风和地磁参数;最后通过案例演示和结构说明,为研究者提供更完善的数据支持。数据库的应用展望部分着重探讨了撞击角度参数在地磁效应机理研究中的潜在价值。
Methods
▍▍1 太阳风等离子体与行星际磁场数据
行星际激波(IP shocks)的特性和法向量方向是通过分析L1拉格朗日点处太阳风监测器收集的太阳风等离子体和行星际磁场(IMF)数据计算得出的。该激波列表的时间跨度为1995年1月至2023年5月。
▍Wind卫星
等离子体数据 | 分辨率92秒 | 太阳风实验仪器采集
磁场数据 | 分辨率3秒 | 磁场探测仪器记录
▍ACE卫星
太阳风数据 | 分辨率64秒 | 太阳风电子、质子及α粒子监测仪收集
磁场数据 | 分辨率16秒 | MAG磁强计收集
所有计算数据均采用地心太阳黄道坐标系(GSE)。
▍▍2 SuperMAG地磁台站与太阳黑子数据
▍辅助地磁指数数据
来自SuperMAG计划。相比传统IAGA指数,SuperMAG使用更多磁力计计算地磁指数。
SuperMAG环电流指数(SMR)由Newell和Gjerloev(2012)定义;
极光指数(SME、SMU、SML)则记录于Newell和Gjerloev(2011)的研究,其中SMU为上限包络指数,SML为下限包络指数,SME=SMU-SML。
所有SuperMAG指数数据时间分辨率为1分钟。
▍太阳黑子数数据
来自比利时皇家天文台的太阳黑子指数与长期太阳观测数据库,并已按照其研究方法进行校正和重新校准。
▍▍3 激波撞击角度及相关参数计算
在1天文单位处计算激波法向量时,假定激波波前为平面结构且尺度大于地球磁层系统。只要获得至少一个航天器的数据即可计算激波法向量。
通常,CME驱动的激波其法向量与日地连线夹角较小,而CIR驱动的激波法向量则存在较大偏离。这种差异源于CME在太阳风中基本沿径向传播,而CIR则遵循帕克螺旋结构,由高速流压缩低速流形成。
▍激波法向量计算
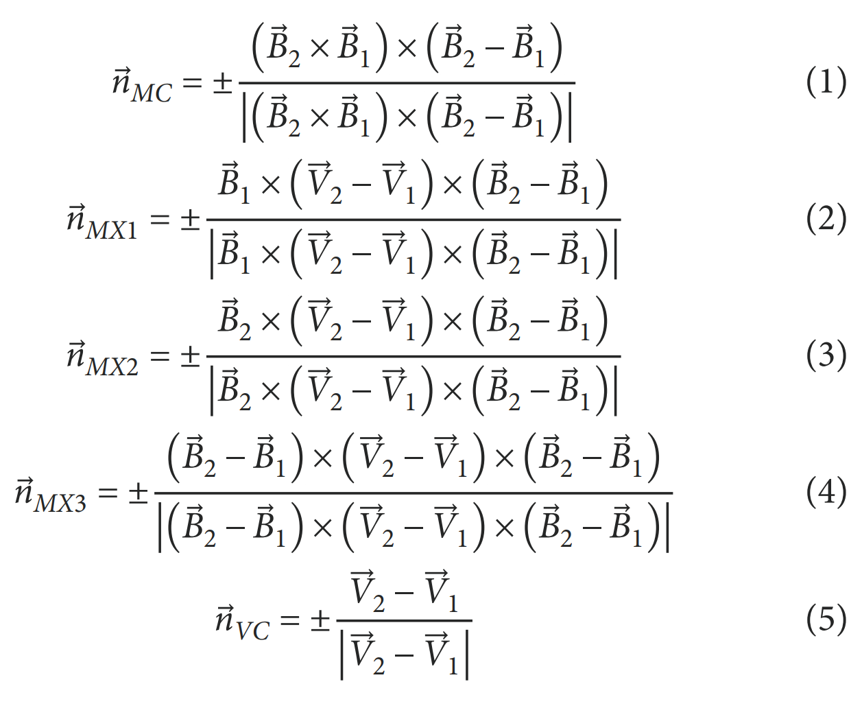
仅用磁场数据的磁共面法(MC,Colburn和Sonett,1966)、仅用速度数据的速度共面法(VC,Abraham-Shrauner,1972),以及混合磁场和速度数据的三种混合方法MX1、MX2、MX3(Schwartz,1998)。具体计算公式如下文所示。

代表磁场向量,
代表太阳风速度向量。
下标1和2分别表示激波上游(未受扰动)区域和下游(受扰动)区域。
法向
的符号可任意设定,通常用正号(+)表示指向下游方向,负号(-)表示指向上游方向。
方程1-5给出了笛卡尔坐标系中的三维法向
,由此可提取三个关键角度。
▍关键角度计算
激波撞击角度;激波时钟角;上游磁场向量与激波法向量的夹角:

其中 θ_xn 称为激波撞击角度,即激波法向量与日地连线的夹角;φ_yn 是垂直于日地连线的yz平面内的激波时钟角(这两个角度均在卫星或地球参考系中测量);θ_Bn 则表示上游磁场向量与激波法向量的夹角(在激波参考系中测量)。
▍关键速度计算
shock speed,sound speed,Alfvén speed,fast/slow magnetosonic speed
根据沿激波法向方向必须保持等离子体质量通量守恒的原理(
),其中
,激波速度可通过以下公式计算:


其中 γ=5/3 表示太阳风定压热容与定容热容之比;P₁为上游太阳风热压力;ρ₁为上游太阳风密度;μ₀=4π×10⁻⁷N/A²为真空磁导率。方程(12)的正解给出快磁声速,负解则对应慢磁声速。
▍马赫数计算
Alfvén Mach number,fast magnetosonic Mach number
激波强度通常用特定马赫数表征。定义
为激波速度与当地太阳风速度的相对速度,则马赫数表示为:

其中v^f_ms为快磁声速。
▍行星际激波强度计算
行星际激波强度还可通过上下游太阳风等离子体参数和行星际磁场 (IMF) 来表征,相应的压缩比表示为:

Example
▍▍ 以2000年6月23日的行星际激波为例

Figure 1. Interplanetary shock observed by ACE on 23 June 2000 and the subsequent geomagnetic activity represented by SuperMAG data.
图1(最初由Oliveira和Raeder于2015年发表)展示了2000年6月23日ACE卫星在地球上游(x, y, z)=(239.9, 36.7, −0.7)R_E位置(R_E为地球半径=6,371.1公里)在1226UT时观测到的行星际激波事件。图中同时呈现了太阳风等离子体、行星际磁场(IMF)数据以及SuperMAG地磁指数数据。
自上而下分别为:
- IMF三分量(a);
- IMF强度(b);
- 太阳风速度x分量(c);
- 太阳风速度y、z分量(d);
- 太阳风速度总量(e);
- 太阳风粒子数密度(f);
- 太阳风动压Pdyn = ρV²(g);
- 太阳风热温度(h);
- SMR指数(i);
- SMU/SML指数(j)。
洋红色垂直虚线标记激波抵达磁层的时间。数据已平移至磁层前端部,以使激波观测与地面磁指数起始时刻对齐。灰色高亮区域分别对应激波上游区(左侧,激波抵达前10至5分钟)和下游区(右侧,激波抵达后5至10分钟),这些区域的平均值将用于公式1-5中五种不同方法的激波法向计算。多数激波采用上述时间窗口,少数事件窗口设置存在差异。
如Balogh等(1995)和Trotta等(2022)所述,激波上下游时间窗口的选取是确定激波参数的关键因素。Trotta等(2022)提出采用激波附近短窗口与不同长度窗口相结合的方法,该方法能为激波参数计算提供统计显著性(含不确定度),并确保后续结果的可靠性。该技术将应用于本激波数据库的后续改进工作。
在绘图、计算激波参数算、计算激波法向前,数据需经预处理:
- 首先,将异常数据点(如1E+31)替换为NaN("非数值")并进行线性插值;
- 随后,对太阳风参数数据进行插值,并将IMF数据统一重采样至30秒时间分辨率。在激波起始时刻附近,插值前后数据的差异极小或可忽略。该处理使不同数据集的时间分辨率相匹配,以便开展联合计算。此技术已应用于数据库所有事件。
所有太阳风等离子体参数及IMF均呈现正向阶跃式增强,这是典型快前向 (FF) 行星际激波的明确特征。关于该事件的(包括激波法向计算结果)将在下节阐述。
Data Base
▍▍ 行星际激波数据库
本数据库早期版本由Oliveira和Raeder(2015)及Oliveira等人(2018)发布。原始数据整合自以下来源:
- 哈佛-史密松天体物理中心提供的激波目录(CfA行星际激波数据库),由J.C. Kasper博士整理的Wind卫星和ACE卫星观测数据
- ACE科学团队维护的激波事件表(收录于ACE扰动与瞬变事件列表)
- Wang等人(2010)发布的1998年2月至2008年8月事件表
新增事件通过扫描太阳风及行星际磁场(IMF)数据获得,筛选标准符合本文2.3节所述框架。
当前行星际激波数据库包含三个核心文件:
- full_shock_list_2023.txt
- 文本格式
- 收录603个激波事件
- full_shock_params.cdf
- CDF(通用数据格式)文件
- 包含各激波事件的详细参数
- read_shock.py
- Python脚本文件
- 提供从CDF文件提取特定激波数据的例程
技术依赖说明:
需安装SpacePy软件包(官网https://spacepy.github.io,参见Morley等人2011年及Larsen等人2022年文献)以运行read_shock.py脚本。该脚本功能如代码清单1所示。
▍代码清单1
从CDF文件提取特定激波事件数据的Python例程

上述Python例程的输入变量为激波编号 sn。如图1所示的行星际激波(IP shock)在激波列表中对应事件编号142。因此,可通过代码清单2所示方式运行read_shock.py脚本提取该事件数据。
▍代码清单2
运行代码清单1中Python例程read_shock.py提取特定激波事件信息的示例(以2000年6月23日ACE卫星观测的第142号事件为例,参见图1)


TABLE 1. Names of the variables associated with each shock event in the list and shown in Listing 2. The numbers in the first column are the numbers of the fields in the list and shown in the header of the file full_shock_list_2023.txt.
各激波事件的分析结果将汇总至full_shock_list_2023.txt文件中的激波列表。该文件包含变量名称的表头(表1),列表内容具体涵盖:
- 卫星位置数据(以地球半径RE为单位)
- 标注用于计算的太阳风监测卫星(Wind或ACE)坐标
- 地磁响应极值
- 记录激波抵达后2小时时间窗口内的最小SMR值
(注:选择2小时窗口的依据)
该时间范围设定基于磁尾能量释放后约60分钟出现地磁活动响应的典型特征(Bargatze等,1985;Oliveira和Raeder,2015;Oliveira等,2021)。这些数据特别适用于非磁暴时期激波观测的相关研究。
▍数据库构建流程(相较于旧版的主要改进)
数据预处理阶段
- 实施数据过滤:将异常值(如1E+31)替换为NaN
- 通过插值/平均处理统一IMF与太阳风参数数据集的时间分辨率
卫星数据筛选准则
- 轨道位置验证:仅选用位于地球上游(x >> 14 RE)的卫星(Wind或ACE)数据
- 多卫星数据择优:当双星数据同时可用时,选用质量更优的数据集
激波事件入选标准
- 常规排除:马赫数(MA或Ms)小于1的事件
- 例外收录:若触发显著地磁活动(如SMR变化≥15 nT)则破格纳入
激波法向确定算法
- 优先选择公式1-5计算结果中最接近中位数的解
- 当θ_xn的最大最小差值>30°时,采用与SuperMAG地磁指数(SMR/SMU/SML/SME)响应最吻合的解
(该方法论已获Wang等2006、Oliveira等2021等多篇文献验证)
Oliveira和Raeder(2015年)发布的激波列表包含461个事件,而Oliveira等人(2018年)更新的版本增至547个事件。当前数据库进一步扩展至603个事件,并新增了多项太阳风参数和激波特性的记录(详见表1)。本数据库时间跨度为1995年1月至2023年5月,完整覆盖第23(SC23)和第24太阳活动周(SC24),同时包含第22太阳活动周(SC22期尾声及第25太阳活动周(SC25)初期数据。这一完整周期覆盖为未来统计研究提供了坚实的数据基础。

FIGURE 2. Statistical properties of shocks in the data base from January 1995 to May 2023 (603 shocks). Panel (A) shock number distribution and Carrington rotation-averaged sunspot numbers. Panels (B–J): number distributions of shock parameters obtained from Eqs 6–17.
图2展示了数据库中603个事件的总体统计特征。图2a显示年度激波数量分布与卡林顿旋转周期(25.38天,Carrington 1863)平均太阳黑子数(黑色实线)的对比,清晰揭示了激波事件数与太阳黑子数的显著相关性(Kilpua等2015;Oliveira和Raeder 2015;Rudd等2019已有研究证实)。观测数据显示,基于太阳黑子总数评估,SC23活动强度明显高于SC24,这直接反映在对应时期的激波观测总数上(分别为432次和187次)。Zhu等人(2022)预测SC25强度将超越SC24,并于2025年7月前后达到峰值,据此可合理推测SC25期间的激波数量将与SC24相当。
表2量化展示了太阳黑子观测与激波参数的整体统计特性,包括均值、中位数、百分位值以及激波数与太阳黑子数的分布相关性。这些结果与既往研究(Kilpua等2015;Oliveira和Raeder 2015;Oliveira等2018;Rudd等2019)具有高度一致性。

TABLE 2. Upper part: Shock parameters calculated from the shock data base released with this publication. The statistical data are: LPT, lower percentile (20%); median value; mean value; UPT, upper percentile (80%); and standard deviation (STD). There are 603 events in this shock list. Lower part: statistical results of sunspot number observations of the two complete solar cycles (SC) covered in the shock data base: SC23 and SC24.
Suggestion
▍▍ 行星际激波数据库应用建议
本报告所述的行星际激波(IP shock)数据库具有多重应用价值,特别适用于研究从地球空间到地面的激波撞击引发的地磁活动,包括但不限于以下领域:
• 激波粒子加速机制
• 辐射带粒子动力学与能量化过程
• 磁层超低频(ULF)波现象
• 地球同步轨道磁场响应特征
• 场向电流体系变化
• 激波在亚暴触发中的作用
• 电离层不规则体形成机制
• 高纬热层对激波撞击的响应(中性气体密度与一氧化氮变化)
• 地面磁力计响应(dB)及其引发的地磁感应电流(GIC)效应
因此,该激波列表可广泛应用于空间物理和空间天气研究领域。
本数据库的核心价值在于支持将激波撞击角度作为地磁活动的控制因子进行研究。Oliveira(2023)最新研究系统阐述了激波撞击角度对地磁活动的调控作用,并提出了以下重点研究方向:
-
激波倾角对GIC相关dB/dt变化强度及纬度扩展的影响
(Carter等,2015;Oliveira等,2018, 2021) -
激波倾角调控ULF波触发机制及其与磁层冷等离子体/波粒相互作用的关系
(Oliveira等,2020;Hartinger等,2022) -
不同激波取向对热层中性气体/一氧化氮分子的影响机制
(涉及热层加热/冷却效应及其对低轨卫星轨道阻力的影响,Oliveira和Zesta,2019;Zesta和Oliveira,2019) -
激波倾角对辐射带动力学的影响
(包括粒子加速、增强、投掷角扩散及相对论电子损失等过程,Tsurutani等,2016;Hajra和Tsurutani,2018b) -
激波倾角在触发超级亚暴(SML<<-2,500 nT)中的关键作用
(Hajra和Tsurutani,2018a;Tsurutani和Hajra,2023)
最后,我们强烈建议研究者开展多角度激波数值模拟研究。例如Welling等(2021)通过模拟"理想CME"正面撞击案例,发现纯正碰会导致极低纬度区出现显著dB/dt变化。本激波数据库可为不同取向激波的观测-模拟对比研究提供重要基准,这对空间天气多场景应用研究具有重要价值。
Data availability statement
行星际激波数据库可在Interplanetary shock data base (zenodo.org)获取。
太阳风等离子体数据及行星际磁场数据下载自美国宇航局协调数据分析网站(CDAWeb,网址:https://cdaweb.gsfc.nasa.gov)。
SuperMAG地磁指数数据源自https://supermag.jhuapl.edu。
每日太阳黑子数数据文件由比利时皇家天文台太阳影响数据分析中心提供(下载地址:https://www.sidc.be/SILSO/datafiles)。
Interplanetary shock data base
Interplanetary shock data base (zenodo.org)

CDAWeb
SPDF - Coordinated Data Analysis Web (CDAWeb) (nasa.gov)

SuperMAG
SuperMAG (jhuapl.edu)

Sunspot Number
Sunspot Number | SIDC

