时间梯度匹配损失 TGMLoss
目录
时间梯度匹配损失(Temporal Gradient Matching Loss, TGM Loss)
完整示例,该损失函数常用于视频预测、运动平滑等任务,通过约束预测序列的时间梯度与真实序列一致来提升时序连续性
训练测试demo代码:
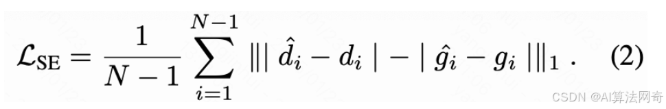
时间梯度匹配损失(Temporal Gradient Matching Loss, TGM Loss)
在计算损失时,不假设相邻帧中对应点的深度保持不变。相反,假设相邻预测帧中对应点的深度变化应与在真实数据中观察到的变化一致。我们将这种差异称为稳定误差(SE),其定义为:

