《概率论与数理统计》期末复习笔记_下
目录
第4章 随机变量的数字特征
4.1 数学期望
4.2 方差
4.3 常见分布的期望与方差
4.4 协方差与相关系教
第5章 大数定律和中心极限定理
5.1 大数定律
5.2 中心极限定理
第6章 样本与抽样分布
6.1 数理统汁的基本概念
6.2 抽样分布
6.2.1 卡方分布
6.2.2 t分布
6.2.3 F分布
第7章 参数估计
7.1 点估计
7.2 估计量的评选标准
7.3 区间估计
第8章 假设检验
8.1 回顾置信区间
8.2 假设检验两种题型
本篇完。(附考试范围及题型)
本篇为《概率论与数理统计》期末复习笔记_下,还有上部分,共两部分。序号跟着上部分。
上部分链接:《概率论与数理统计》期末复习笔记_上-CSDN博客
第4章 随机变量的数字特征
4.1 数学期望






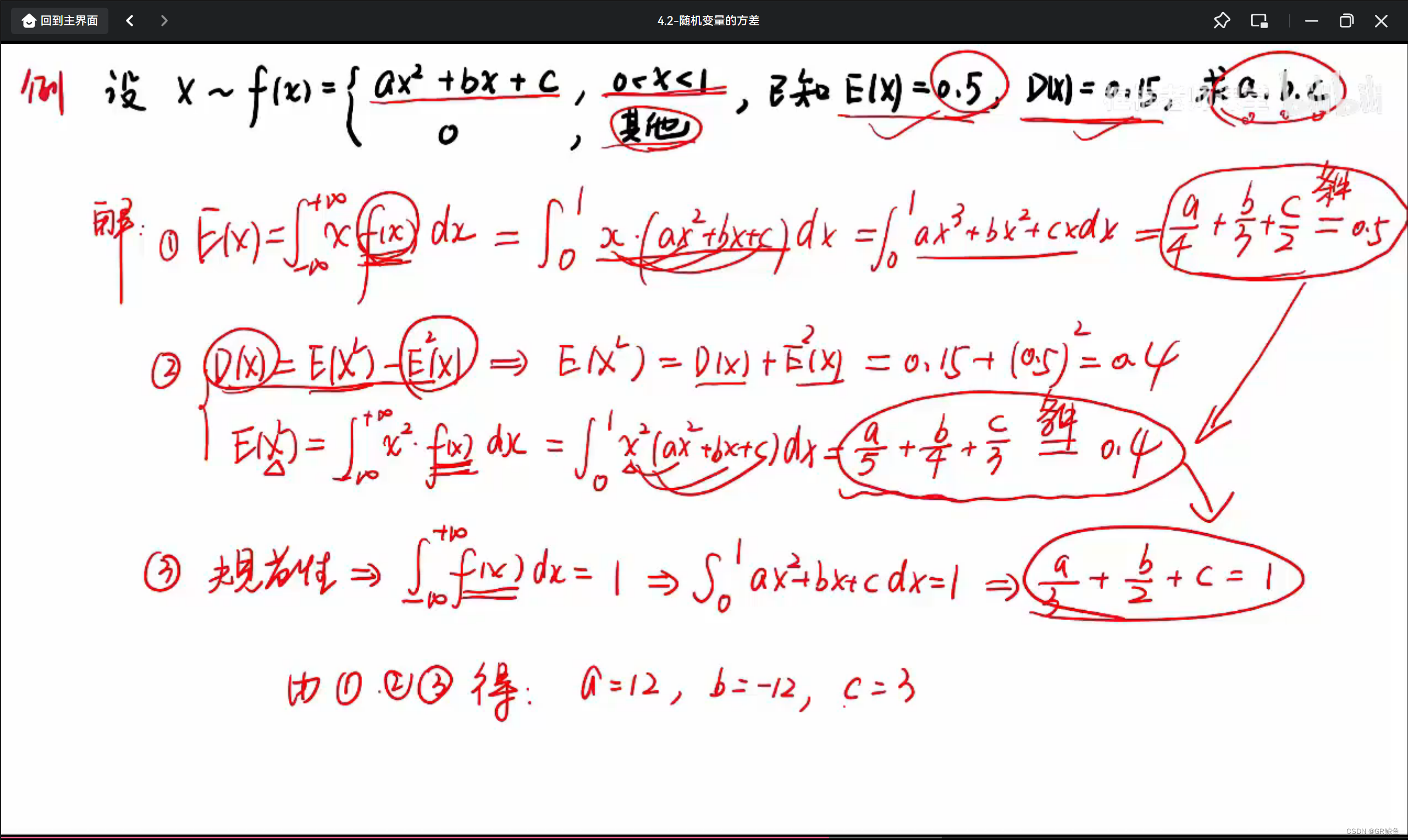
4.2 方差




4.3 常见分布的期望与方差








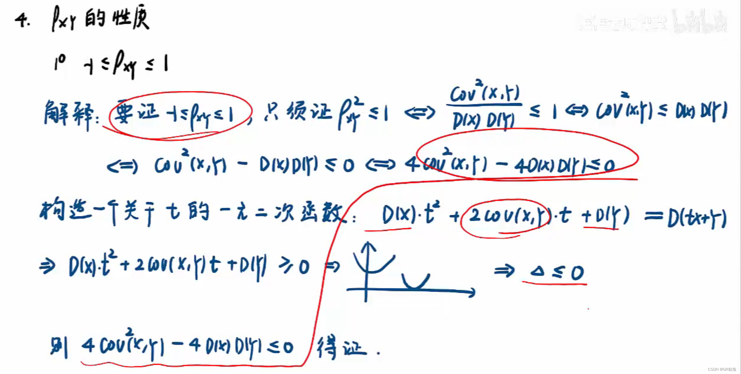
4.4 协方差与相关系教







第5章 大数定律和中心极限定理
5.1 大数定律







5.2 中心极限定理





第6章 样本与抽样分布
6.1 数理统汁的基本概念








6.2 抽样分布
6.2.1 卡方分布




6.2.2 t分布

6.2.3 F分布








第7章 参数估计
7.1 点估计








7.2 估计量的评选标准





7.3 区间估计










第8章 假设检验
8.1 回顾置信区间




8.2 假设检验两种题型

解题步骤:

第二种公式步骤:

例题:



本篇完。(附考试范围及题型)
本人学校期末考试范围及题型:

题型:选择题共12分,6个小题,填空题共18分,共6个题;大题共70分,共7个小题。
最后记一下常见分布的概率函数或者密度函数的表示就没了。
