几何法证明卡特兰数_栈混洗
模型:
考虑从坐标原点 (0, 0) 到点 (n, n) 的路径,要求路径只能向右(x 方向)或向上(y 方向)移动,并且路径不能越过直线 y = x(即始终满足 y<= x )。这样的路径数量就是卡特兰数 Cn 所表示的组合数量。
  
对于栈的操作:
将入栈约等于向右移动一步(x 方向),出栈约等于向上移动一步(y 方向)。因为栈在任何时刻出栈操作次数不能超过入栈操作次数,所以对应的路径不能越过 y = x 这条线。
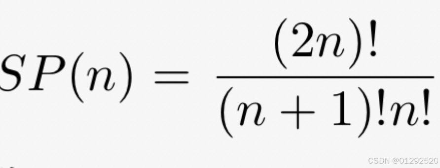
设 SP(n) 表示对 n 个元素进行合法栈操作(入栈 n 次,出栈 n 次 ,且任何时刻出栈次数不超过入栈次数 )的序列个数,这就和上述从 (0,0) 到 (n,n) 且不越过 y = x 的路径数建立起一一对应关系。
计算从 (0, 0) 到 (n, n) 的总路径数:
 从 (0, 0) 到 (n, n) 总共要走 2n 步,其中 n 步向右,n 步向上,根据组合数公式,总路径数为 

 对于一条越过 y = x 的路径,必然会与直线 y=x + 1 有交点。设第一次与 y=x + 1 相交的点为 P ,将从原点到 P 的路径关于 y=x + 1 对称,再连接对称后的终点与 (n,n) ,可以发现越过 y = x 的路径与从 (0,0) 到 (n - 1,n + 1) 的路径是一一对应的。
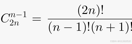
 从 (0, 0) 到 (n - 1,n + 1) 总共走 2n 步,其中 n - 1 步向右,n + 1 步向上,路径数为

 计算不越过 y = x 的路径数(即卡特兰数 Cn ):
 用从 (0, 0) 到 (n, n) 的总路径数减去越过 y = x 的路径数,即

由于 SP(n) 所代表的合法栈操作序列个数与从 (0,0) 到 (n,n) 且不越过 y = x 的路径数相等,所以

即 SP(n) 等于卡特兰数。

https://dsa.cs.tsinghua.edu.cn/~deng/ds/dsacpp/
https://zhuanlan.zhihu.com/p/166135630?utm_psn=1891333928486429828
