编程知识
  • 编程日记
当前位置: 首页 > news >正文

高等数学-第七版-上册 选做记录 习题7-4

news 2025/12/17 14:43:28

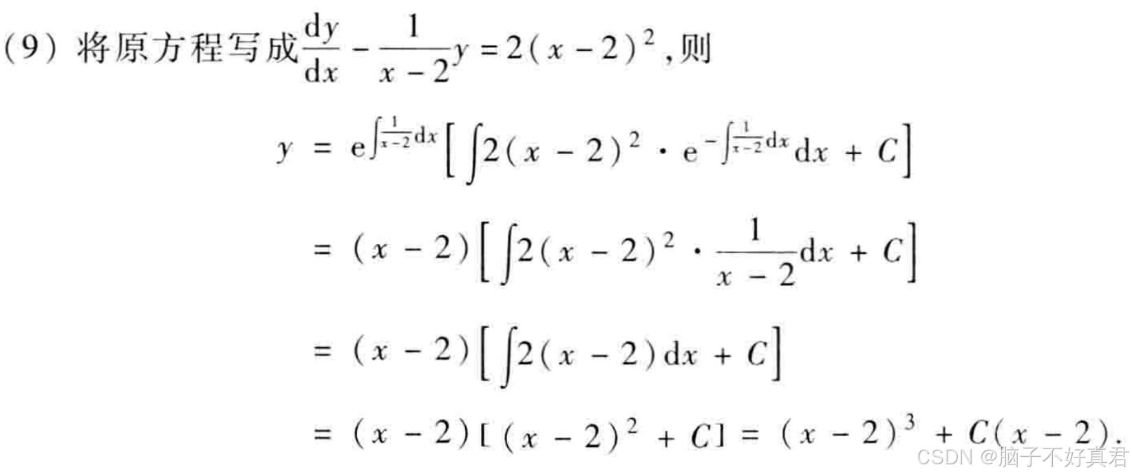
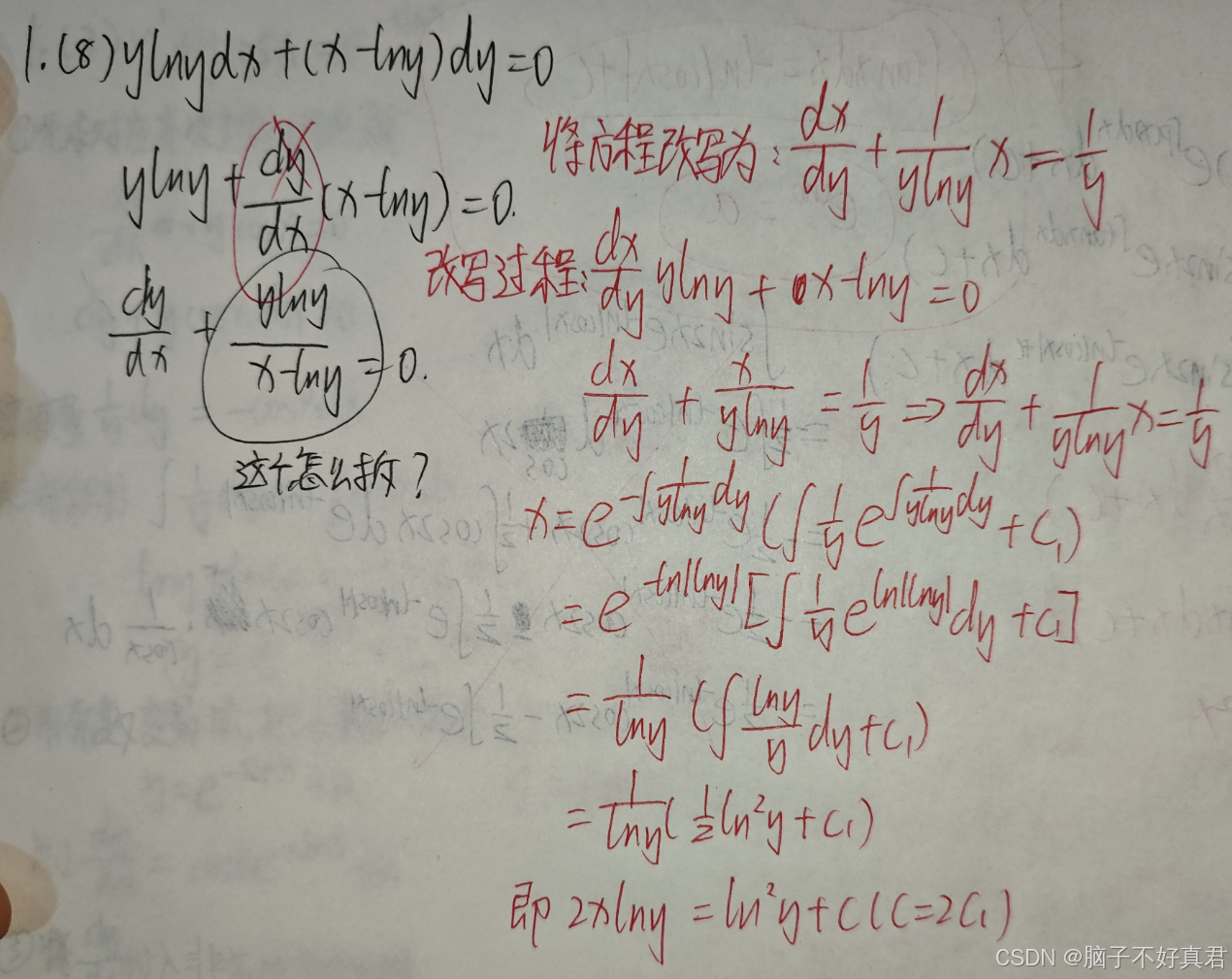
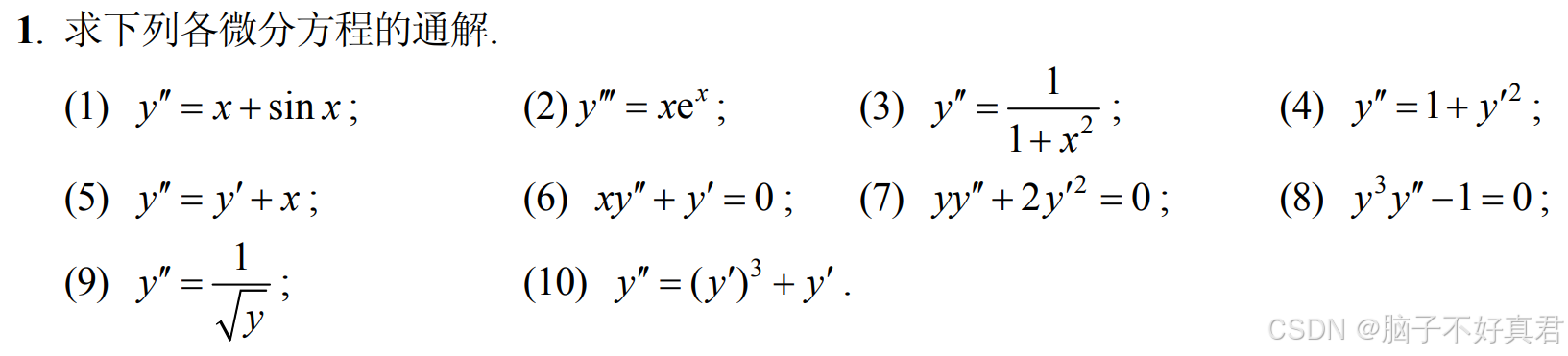
1.






2.



查看全文

http://www.mrgr.cn/news/96394.html

相关文章:

  • python学习笔记(3)——元组
  • 网络华为HCIA+HCIP 策略路由,双点双向
  • 【云服务器】在Linux CentOS 7上快速搭建我的世界 Minecraft 服务器搭建,并实现远程联机,详细教程
  • docker启动nacos+redis+seata
  • IO模型之于并发编程模型、并发模型之于架构模式
  • 【SPP】蓝牙串口协议(SPP)深度解析:从 RS232 仿真到设备互联的技术实现
  • [GXYCTF2019]禁止套娃1 [GitHack] [无参数RCE]
  • FPGA调试笔记
  • docker部署mongodb数据库
  • 【HC-05蓝牙模块】主要性能指标与通信基础知识
  • 【Git教程】将dev分支合并到master后,那么dev分支该如何处理
  • SHELL 三剑客
  • AI 时代,我们该如何写作?
  • 基于kafka的分布式日志收集平台项目(第三部分)
  • 杂草YOLO系列数据集4000张
  • 【网络编程】搭建一个简单的UDP通信服务器和客户端
  • 从24GHz到71GHz:Sivers半导体的广泛频率范围5G毫米波产品解析
  • Git和GitCode使用(从Git安装到上传项目一条龙)
  • 算法刷题记录——题解目录汇总(持续更新)
  • 学习不同电脑cpu分类及选购指南
  • 最新文章

    • Class00.1:数据操作+数据预处理
      Class00.1:数据操作+数据预处理
      2025/6/25 16:37:02
    • 【4目方案】基于海思3403平台开发4目360°全景拼接相机方案
      【4目方案】基于海思3403平台开发4目360°全景拼接相机方案
      2025/6/25 12:45:55
    • Windows部署Sonic前后端(详细版)
      Windows部署Sonic前后端(详细版)
      2025/6/23 18:25:17
    • 仅测角系统跟踪MATLAB实现,在修正椭圆坐标系MSC下的稳定跟踪算法
      仅测角系统跟踪MATLAB实现,在修正椭圆坐标系MSC下的稳定跟踪算法
      2025/6/23 2:04:54
    • 推进可解释人工智能迈向类人智能讨论总结分享
      推进可解释人工智能迈向类人智能讨论总结分享
      2025/6/23 1:57:42
    • 一、什么是生成式人工智能
      一、什么是生成式人工智能
      2025/6/22 14:03:11
    • 编程知识介绍
    • 商务合作
    • 免责声明

    CopyRight © 编程知识版权所有