狄利克雷卷积
在这篇文章中,我们将用一种非常优雅和简单的方式证明数论中的一些惊人的定理,使用一种非常强大的理论,即狄利克雷卷积。我希望通过向你们展示这个理论与解析数论和黎曼ζ函数之间的联系,让它成为初等数论和解析数论之间的桥梁。
算术函数(数论函数)
算术函数,也就是,所有以值1、2、3、…为参数的函数。这样的函数f被定义为每一个自然数n的复值f(n),尽管f(n)的值通常是自然数。从现在开始,字母n, m和k将表示自然数,除非另有说明。
积性函数
算术函数的定义很广。有一些简单的性质是非常重要的。我们定义了n和m之间的最大公约数,即gcd(n, m)除以能将两者同时整除的最大自然数,例如gcd(12,18) = 6。
一种算术函数f被称为积性函数,如果对于任意一对n和m, gcd(n, m) = 1,有f(nm) = f(n)f(m),也就是说,当n和m是互素时,这个性质成立。如果这个对任意n和m都成立,那么我们称f为完全积性。
这些函数在整个数论中起着重要的作用。一个重要的函数族是“除数函数和”的集合,我们稍后会回到这个问题。
因子求和
这个理论都是关于算术函数的值的和,用n的除数来表示。
让我们从一些符号开始。d|n时意思是d除以n。设g为算术函数。然后可以用以下方法定义一个算术函数f:
例如,f(8) = g(1) + g(2) + g(4) + g(8),因为8的因数是1、2、4和8。
一个惊人的性质是成立的,即如果上面的函数g是积性的,那么f也是积性的。
为了理解这一点,假设g是一个乘法函数,且n和m是互质的,即gcd(n, m) = 1,那么:
说明f是积性的。注意,第一个等式是因为上面的定义;在第二个等式中,我们使用的乘积nm的除数必须分别是n和m的除数的乘积,这是因为m和n是互素的;在第三个等式中,g是积性的;在第四个等式中,我们使用分配律来确保所有的和组合都被考虑在内。
从刚才证明的引理中,我们立即知道,许多已知的和常用的算术函数实际上是积性的,例如除数函数。
函数f和g之间的这种关系起着特殊的作用,非常重要。从这个定义中产生了许多自然的问题。
有什么已知的函数也是这样的吗(比如上面的f和g)?
有了上面的这些,我们能把g写成f的形式吗?也就是说,我们能把上面的公式颠倒一下吗?如何做到?
接下来,我将回答这些问题,并提供一个可以用于研究的工具。
特殊的算术函数
纵观算术函数理论,有些函数比其他函数更重要。在微积分中,指数函数和三角函数是非常重要的(当然是相互联系的);在代数中,多项式是非常重要的(它们几乎在任何理论中都存在);在解析数论中,有γ函数,黎曼ζ函数,模形式等等。
因此,对算术函数理论中具体函数的研究具有十分重要的意义。
恒等函数和单位函数
我们定义了以下重要的算术函数:
用以下方法定义恒等函数I:
I(1) = 1,
n > 1 => I(n) = 0。
这将在后面扮演一个特殊的角色。
我们定义单位函数u:
u(n) = 1 ,对于所有n
和函数N:
N(n) = n,对于所有n
欧拉函数
这个函数已经被研究了好几百年,而且确实是其中的一个亮点。该函数由表示,表示小于等于n的正整数中与n互质的数的数目.。例如:
(1)= 1
(6)= 2
(7)= 6
(10)= 4
通常,如果p是素数,那么(p) = p - 1。一般来说,我们可以这样定义它:
这个函数在数论和群论中有几个重要的性质,但我们现在不进一步研究它。
我们现在需要知道的唯一一件事是是积性的。
莫比乌斯函数μ
默比乌斯函数在解析数论中也是一个非常重要的函数,并且是算术函数理论的核心。
我们用以下方式来定义它:
μ(1)= 1。假设一个自然数n,如果n能被m^2整除,那么μ(n) = 0。注意,这意味着如果n能被一个大于1的素数的幂整除,那么μ(n) = 0,因为那个素数的平方也能整除它。
如果没有平方数能整除n,那么有两种可能:如果能整除n的素数是奇数,那么μ(n) = -1;如果能整除n的素数是偶数,那么μ(n) = 1。
我们可以证明莫比乌斯函数的等价定义:
μ是相乘的,μ的前几个值是:
μ(1)= 1
μ(2)= -1
μ(3)= -1
μ(4)= 0
μ(5)= -1
μ(6)= 1
除数函数
古希腊人研究了数的可分性,知道了完美数、亲和数等等。除数函数也与解析数论中的狄利克雷级数理论密切相关。我们稍后会讲到。
最常被研究的两个除数函数是:
除数的个数称为d
因子和函数称为σ
上述函数的定义与你所想的完全一致。d计算因子的个数,所以d(3) = 2, d(6) = 4。σ是因子和函数,所以σ(3) = 4, σ(6) = 12。
一般来说,我们可以通过以下方法定义第k个除数函数:
上面两个函数只是特殊情况。特别地,当k=0时,我们得到d;当k=1时,得到σ。
它们都是积性的,根据上面的引理,我们可以用求和的乘法性来得出这个结论。实际上,k可以是任意复数,但这里我们不考虑这个。
狄利克雷分布
有了这些先决条件,我们现在就可以开始进入算术函数的世界了。如果f和g是算术函数,那么它们的狄利克雷卷积就是f * g定义的算术函数:
注意,这个运算实际上是对称的,即f*g = g*f,由于乘法运算是对称的,因此f(m)g(k)和f(k)g(m)都将出现在和中。你也可以看到,如果d是n的除数,那么n/d也是。
我们也有:
(f*g)*h = f*(g*h),
f*I = I*f = f
其中I是上面定义的恒等函数。事实上,这就是它被称为“同一性”的原因。
这很有趣,因为现在我们可以问下面的问题:
对于算术函数f是否存在一个函数g使f*g = I
结果是,如果f(1)≠0,那么f就有一个逆(关于狄利克雷卷积)。这使得所有可逆算术函数的集合成为一个交换群,这个交换群是整个理论的中心。
注意,上面μ的定义可以写成μ * u = I,说明μ和u是彼此的逆。这些函数具有逆函数的事实与数论中的一个主要结果密切相关:
定理(莫比乌斯反演公式)
设f和g是算术函数。如果:
对于所有的n,那么:
对于所有n。
为了证明这一点。首先,我们用狄利克雷卷积来重述它。这个定理说:
如果f = g * u,那么g = f * μ。
证明:
如果f = g * u那么 f * μ = (g * u) * μ = g * (u * μ) = g * I = g。
证毕。
这是一个简单的证明,优雅而美丽。这个证明通常需要更多的论证和计算。我们还得到了其他一些漂亮的结果:
= n * μ,
N = σ * μ
显示著名的算术函数之间的关系。例如,到最后一个结果,我们有:
N(6) = 6 = σ(1)μ(1) + σ(2)μ(2) + σ(3)μ(3) + σ(6)μ(6) = 1 - 3 - 4 + 12。
狄利克雷级数
我们还没有真正涉及到狄利克雷卷积的起源以及它们为什么如此重要。其中一个原因是狄利克雷级数。狄利克雷级数是这种形式的级数:
其中f是一个算术函数s是一个复变量。因此,这实际上是一个复变量的复值函数。如果你不适应复分析,你可以把变量s看作一个实变量,因为这不会影响这些计算。
根据这个定义,我们可以计算两个狄利克雷级数的乘积来得到这个结果:
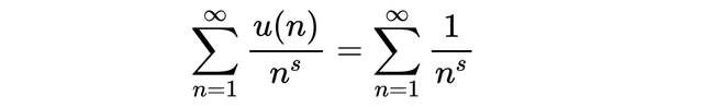
狄利克雷级数的一个非常著名的例子是这个级数的算术函数是单位函数u。
在这种情况下,由于u(n) = 1,对于所有n,我们得到狄利克雷级数:
这是著名的黎曼ζ函数ζ(s),对于 Re(s) > 1。
欧拉积
在17世纪,莱昂哈德·欧拉发现了一个惊人的关系。具体来说,他发现黎曼ζ函数可以写成质数的无穷积。
这就是函数的欧拉乘积。结果如下:
设表示所有质数的集合,使={2,3,5,7,11,…},则:
在我看来,这是数学中最美妙的事实之一。
事实证明,这确实是一个更普遍现象的特殊情况!具体来说,如果f是一个积性算术函数,那么我们会得到一个惊人的结果:
右边可以扩展为更少符号的格式,如:
通过这个符号,不难看出为什么是这样。上面的左边是所有自然数的和,所以每个m都应该以f(m)/m^s的形式出现。我们能从右边证明吗?
注意,如果m有质因数分解:
那么:
因为f是积性的。通过在右边的质数乘积中选择正确的项,我们就可以得到f(m)/m^s。我们可以对狄利克雷级数中的任何一项这样做,这本质上是算术的基本定理。
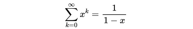
上述结果也称为欧拉积。现在回想一下几何级数及其封闭形式:如果|x| < 1,那么:
再加上如果一个算术函数f是完全积性的,即f(nm) = f(n)f(m)对于所有的n,那么f(p^k) = f(p)^k。因此,上面的欧拉乘积在这种情况下有一个更简单的表达式。利用在素数乘积的每个因子中出现的几何级数的封闭表达式,完全积性函数的公式得到了以下值得注意的结果:
因为u是完全积性的,如果我们在上面的公式中用u代替f,我们就可以得到黎曼ζ函数的欧拉积!
一个应用
我们知道很多函数是积性的,所以可以通过它们的欧拉乘积来研究很多不同的狄利克雷级数。
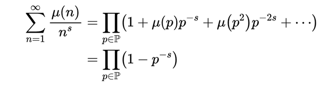
以著名的莫比乌斯函数μ为例。因为μ是积性的,我们有:
这里最后一个等式成立因为当k≥2时,μ(p^k) = 0。
这让你想起什么了吗?这几乎就是黎曼ζ函数除了这个因子在分子上而不是分母上。事实上,我们刚刚展示的是:
但是狄利克雷卷积在哪里呢?有了上面的结果和莫比乌斯反演公式,我们可以做一些非常有趣的事情。
设g是一个算术函数,设f = g * u。
现在,考虑以下计算:
我们得出结论:
这是一个非常有趣的结果。ζ就像一个转换器,在“除数求和”和对应的狄利克雷级数之间转换。
赞在哪里?

























